13
Yasuo MIAKE, Univ. of Tsukuba
Additional Cherenkov
•
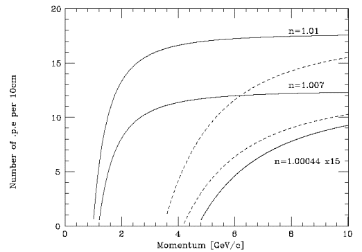
RICH
–
CH4;1.00044
–
CO2;1.00041
•
g
th
= 34
•
Pion ; 4.7
GeV/c
•
Aerogel
–
Best match at
1.005
–
Commercially
available for 1.007
- 1.07
•
Samples for test
–
1.007
–
1.01
–
1.015
Pion
Kaon