Y.Miake,
Univ. of Tsukuba

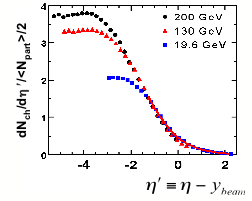
Particle production (h distr.)
lAll the data taken at
RHIC(Phobos).
l dn/dh ; wider &
larger in higher energies.
lNot very flat even at 200
GeV
lNote that it is plotted in h.
lFeatures of ‘limiting fragmentation’ seen
lSimple application of Lorentz
Invariance cannot be done!
Phobos;
P.R.L. 91, 052303(2003)
