Y.Miake,
KPS meeting at Seju, 2004

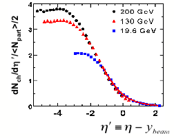
Particle production (h distr.)
lData taken at RHIC-Phobos
l dn/dh ; wider &
larger in higher energies.
lNot very flat even at 200
GeV
lFeatures of limiting fragmentation seen
lSimple application of Lorentz
Invariance cannot be done!
Phobos;
P.R.L. 91, 052303(2003)
