Hefei workshop, 18-19/Oct/2004
ShinIchi Esumi, Univ. of Tsukuba
15
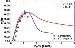
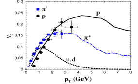
hydro + jet
quark
coalescence
recombination
+ fragmentation
Data prefer
“
quark
coalescence / recombination
”
based picture rather than
“
hydro + jet
”
picture at
intermediate p
T
.
QGP